iPhone 17e vs. Google Pixel 10a: Two affordable flagships, one tough decision
Apple and Google are chasing the same buyer, just in very different ways.
Apple and Google are chasing the same buyer, just in very different ways.
Storage upgrades are gone, but buying a Galaxy S26 device still gets you a freebie.
The two agencies sealed their memorandum of understanding to link the parts of their work that overlap, and coordinated crypto oversight is among the...
Samsung’s first Galaxy S26 update removed the “Hey Plex” wake word for Perplexity AI, but it’s only temporary.
“You pervert, I recorded you!” sextortion emails include real passwords harvested from public temporary email inboxes.
Scammers are targeting Americans with robocalls during tax season. Here’s how to spot the scam.
YouTube may be the biggest streamer, but this move risks testing viewers' patience.
The pool is designed for institutional and public company miners, focusing on compliance and regulated infrastructure.
More than 85 partners will work with Mastercard to connect on-chain payments with banks, merchants and global commerce as part of the payment giant's...
Pixel's new Transit mode automates settings, filters notifications, and shows live updates to make daily commutes easier.
Microsoft patched 79 security vulnerabilities this month, including bugs that could let attackers escalate privileges or crash critical services.
A Galaxy S26 Pro could give the lineup clearer boundaries.
At MWC 2026, Android ecosystem president Sameer Samat spoke with Android Authority about the platform's next chapter.
Oura announced that it has acquired Doublepoint, and it seems to point toward a future of smart ring gesture controls.
I switched to the Find N6 as my daily driver, and this foldable has a unique feature: an entirely creaseless inner panel.
The price increase will take effect on March 16 across OnePlus devices and some Oppo models.
Samsung is trying to get the Galaxy S26 patch schedule on track.
Google is rolling out Gemini in Chrome to India, Canada, and New Zealand, with support for over 50 languages.
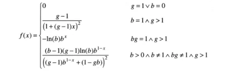
The MBBEFD Distribution After two years, the MBBEFDLite package for R is finally mature! As a brand-new actuary, in my first job, I had the privilege...
You can read the original post in its original format on Rtask website by ThinkR here: Sharing data across shiny modules, an update Some people have r...